Oct 07,2017 البحث العلمي والدراسات العليا

نظرية الوجود والوحدانية لمعادلة تفاضلية تابعية من المرتبة n.

الباحث

د. فوزي الدنان

منشور في

International Journal of Pure and Applied Mathematics Volume 84 No. 3 2013, 193-200

الملخص

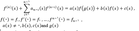
إن مسألة وجود ووحدانية الحل للمعادلات التفاضلية التابعية هي مسألة هامة جداً ، وذلك لأن ضمان وجود ووحدانية الحل يضمن البدء بإجراء الحسابات ، وإيجاد الصيغ التقريبية للحلول . في هذا البحث نبرهن نظرية تضمن الوجود الشامل والوحدانية لحلول مسألة القيم الأبتدائية للمعادلة التابعية التالية :

 

هي توابع مستمرة على مجال محدد .

رابط لقراءة كامل البحث

http://www.ijpam.eu/contents/2013-84-3/6/6.pdf